中文 |
简体
首頁
關於凱嘉
產品資訊
技術研發
品保政策
規格書下載
最新消息
聯絡我們
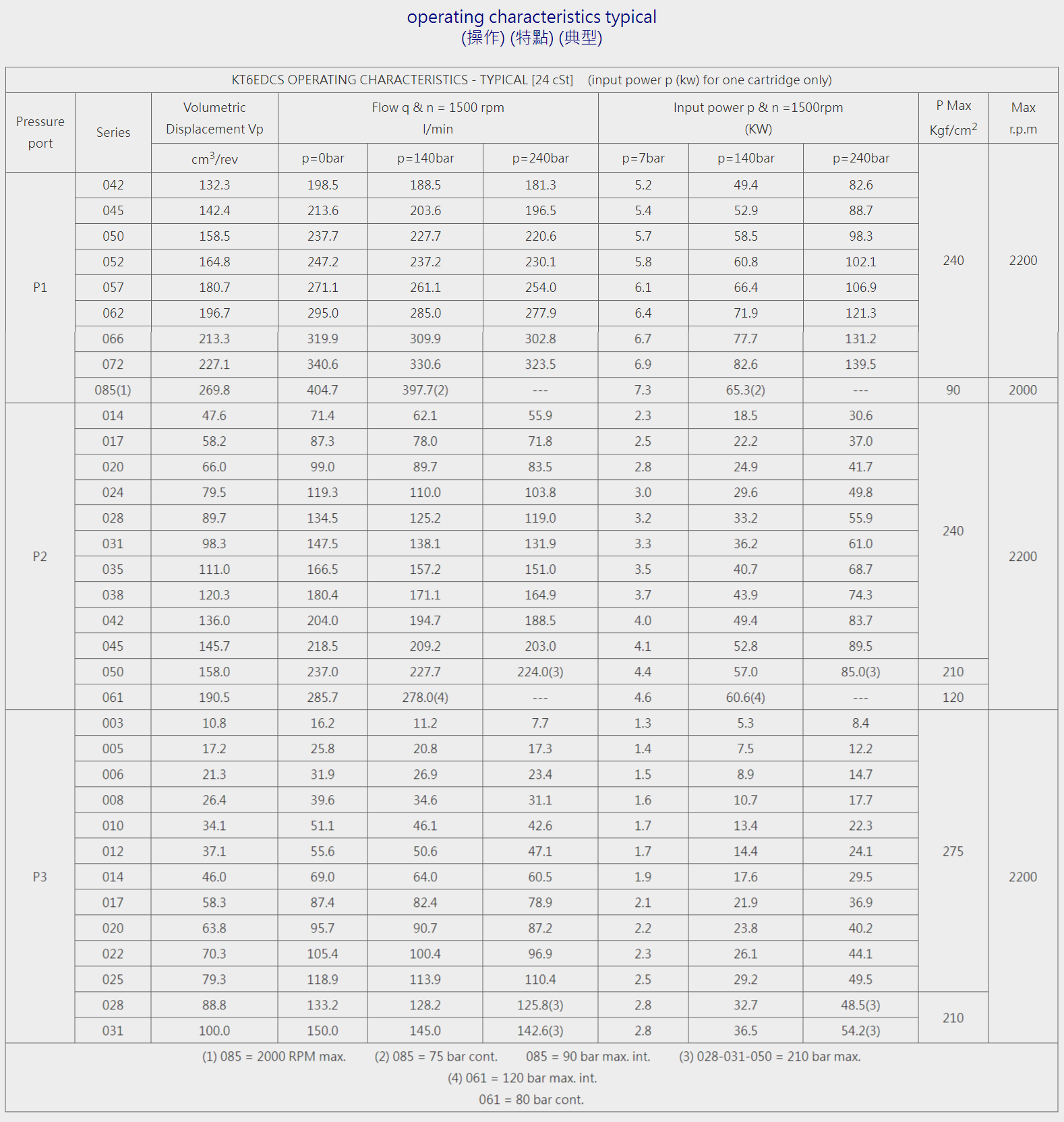
K6系列三聯泵-KT6EDCS
產品編號 : KT6EDCS
直接詢價
型錄下載
回上頁
系列產品
K6系列三聯泵
KT6DCC
/
KT6DDCS
/
KT6EDC/M
/
KT6EDCS
/
KT7DCB
/
KT7DBB
/
KT7QDCB
/
KT7QDCC
產品說明
×